







THÔNG TIN CHI TIẾT
- Tác giả : Lưu Văn Dầu
- Nhà xuất bản : NXB Dân Trí
- Kích thước : 16 x 24 cm
- Số trang : 304 trang
- Loại bìa : Bìa mềm
- Công ty phát hành : Khang Việt
- Năm xuất bản : 2026
GIỚI THIỆU SÁCH
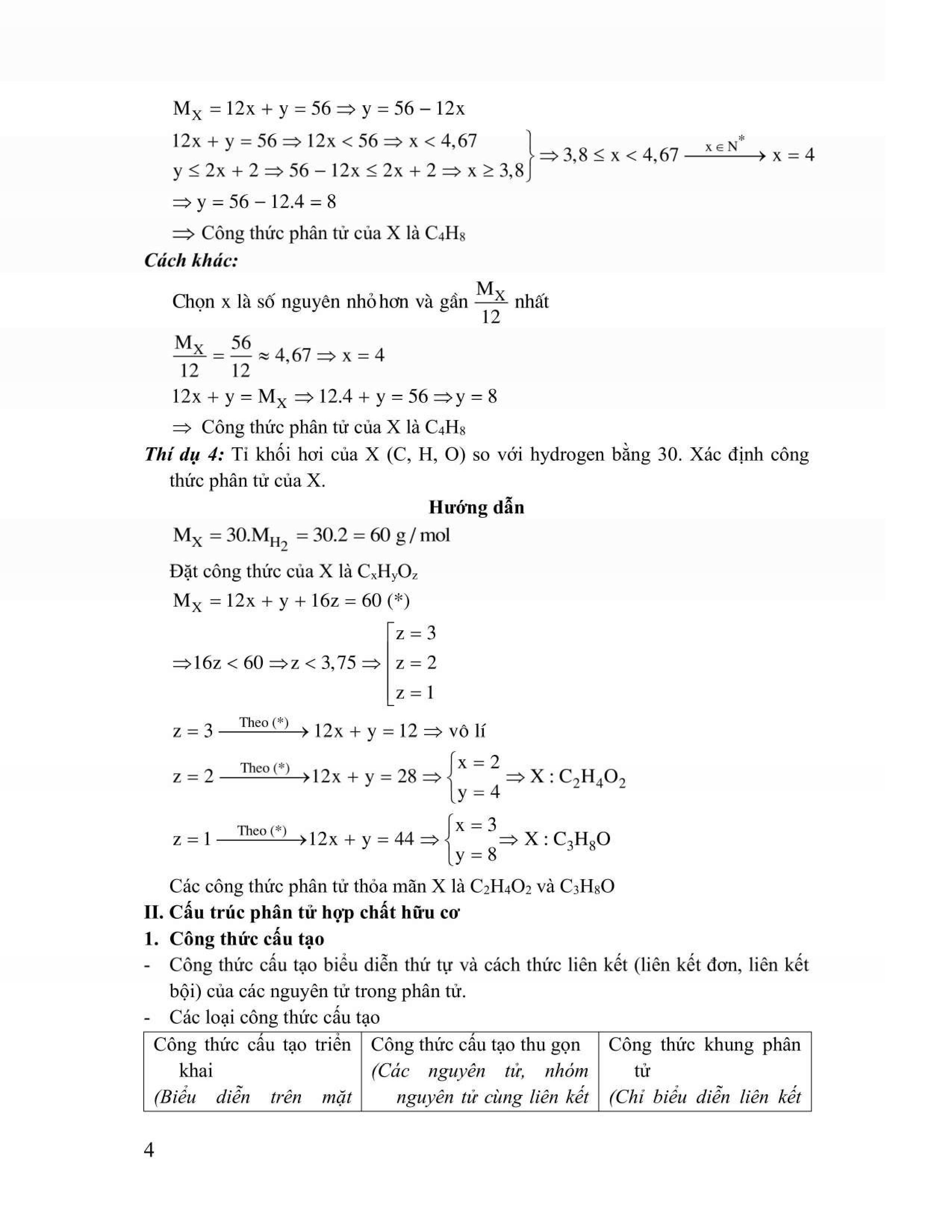
Tài liệu "Chuyên đề bồi dưỡng học sinh giỏi và ôn thi vào lớp 10 chuyên Hóa phần Hóa hữu cơ (có lời giải chi tiết - biên soạn theo chương trình mới)" là một nguồn tài liệu hữu ích dành cho học sinh giỏi Hóa học và các em muốn ôn thi vào lớp 10 chuyên Hóa. Tài liệu này tập trung vào phần hóa hữu cơ, có lời giải chi tiết và được biên soạn theo chương trình mới, giúp học sinh nắm vững kiến thức và kỹ năng giải bài tập.
Nội dung chính:
Chuyên đề:
Tài liệu chia kiến thức hóa hữu cơ thành các chuyên đề nhỏ, giúp học sinh dễ dàng tiếp cận và ôn luyện theo từng phần.
Kiến thức cần nhớ:
Mỗi chuyên đề sẽ có phần tóm tắt lý thuyết, công thức, tính chất hóa học quan trọng, giúp học sinh hệ thống lại kiến thức.
Phương pháp giải:
Tài liệu cung cấp các phương pháp giải bài tập từ cơ bản đến nâng cao, giúp học sinh rèn luyện tư duy và kỹ năng giải toán.
Bài tập minh họa:
Mỗi chuyên đề có các bài tập ví dụ được giải chi tiết, giúp học sinh hiểu rõ cách áp dụng lý thuyết vào giải bài tập.
Bài tập vận dụng:
Sau mỗi chuyên đề, có các bài tập vận dụng để học sinh tự luyện, rèn luyện kỹ năng giải bài tập.
Lời giải chi tiết:
Các bài tập vận dụng đều có lời giải chi tiết, giúp học sinh tự kiểm tra và đánh giá kết quả học tập của mình.
Chương trình mới:
Tài liệu được biên soạn theo chương trình hóa học mới nhất, đảm bảo tính cập nhật và phù hợp với kỳ thi tuyển sinh vào lớp 10 chuyên Hóa.
Giá sản phẩm trên Tiki đã bao gồm thuế theo luật hiện hành. Bên cạnh đó, tuỳ vào loại sản phẩm, hình thức và địa chỉ giao hàng mà có thể phát sinh thêm chi phí khác như phí vận chuyển, phụ phí hàng cồng kềnh, thuế nhập khẩu (đối với đơn hàng giao từ nước ngoài có giá trị trên 1 triệu đồng).....
| Công ty phát hành | Khang Việt Book |
|---|---|
| Nhà xuất bản | NXB Dân Trí |
| SKU | 5782183454625 |
destination b1 bảng tuần hoàn hóa học nghị luận xã hội hóa học hình học phẳng chuyên anh sinh học sách giáo khoa lớp 8 bảng tuần hoàn các nguyên tố hoá học sách giáo khoa lớp 7 vật lý phan khắc nghệ atlat địa lý việt nam chinh phục đề thi vào 10 toán 9 toán 7 sách ôn thi vào lớp 10 sổ tay toán học bài tập tiếng anh 8 tiếng anh lớp 8 all in one luyện chuyên sâu ngữ pháp và bài tập tiếng anh vật lý 7 tiếng anh 8 tiếng anh lớp 6 chinh phục đề thi vào 10 môn văn sách chinh phục luyện thi vào lớp 10 tiếng anh 9 đề kiểm tra toán 9 hóa học 8